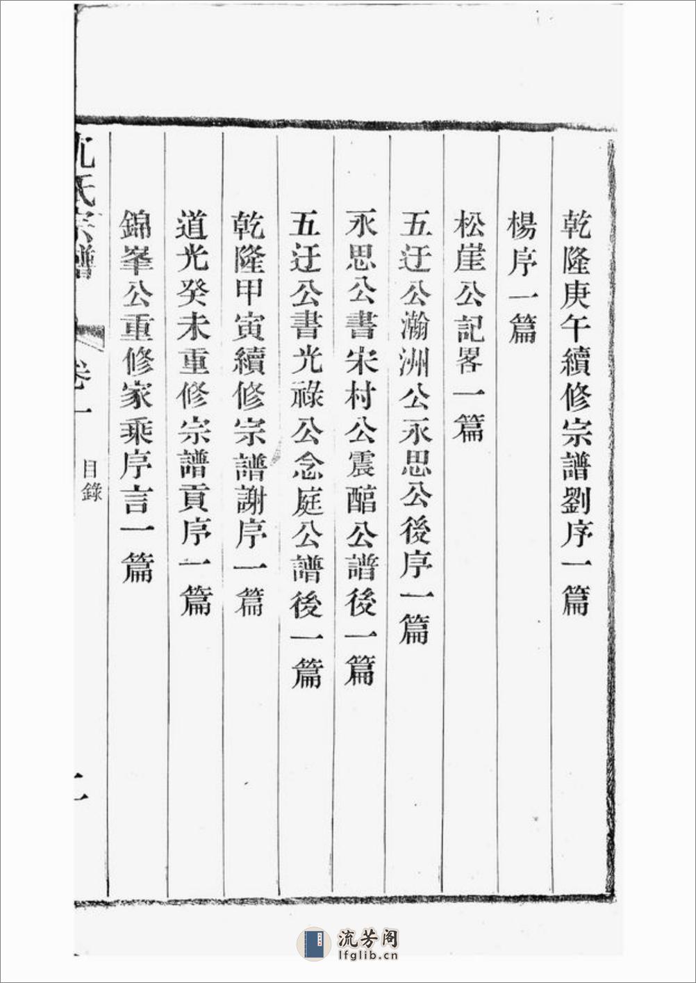
晋陵金台沈氏重修宗谱:十八卷 (附下载)
由于年代久远,《晋陵金台沈氏重修宗谱:十八卷》目前存世量很少。流芳阁致力于数字化归档和开放式地分享古籍善本,让更多人了解和热爱中国优秀的传统文化,让中华文明的瑰宝得到更好的传承和发扬。因此流芳阁将其收录归档,向公众提供开放的电子版阅览和影印本获取服务。
总页数:4467页;文件大小:356.97mb。




















由于技术条件受限,目前仅支持浏览该古籍的前20页照片。如您需阅览古籍的高清影印版全本或高清PDF电子版全本,请联系流芳阁官方微信:lfgorg 获取,我们将在第一时间回复您的请求。因古籍保存年代久远或受当时印刷技术限制而可能导致的虫蛀、水渍、墨迹脱落等问题,请您谅解。祝您学习和阅览愉快~