吴子今注今译(繁体)].傅绍杰注译 (附下载)
由于年代久远,《吴子今注今译(繁体)].傅绍杰注译》目前存世量很少。流芳阁致力于数字化归档和开放式地分享古籍善本,让更多人了解和热爱中国优秀的传统文化,让中华文明的瑰宝得到更好的传承和发扬。因此流芳阁将其收录归档,向公众提供开放、免费的电子版阅览和影印本获取服务。
总页数:180页;文件大小:7.03mb。
![吴子今注今译(繁体)].傅绍杰注译 - 第1页预览图](https://lfglib.cn/wp-content/uploads/lfgimgs/gujicover/e2305517f4b34180be006a5fb4ff09b9p1.jpg)
![吴子今注今译(繁体)].傅绍杰注译 - 第2页预览图](https://imgsoflfg-1302780771.cos.ap-shanghai.myqcloud.com/lfgimgs/e2305517f4b34180be006a5fb4ff09b9p2.jpg)
![吴子今注今译(繁体)].傅绍杰注译 - 第3页预览图](https://imgsoflfg-1302780771.cos.ap-shanghai.myqcloud.com/lfgimgs/e2305517f4b34180be006a5fb4ff09b9p3.jpg)
![吴子今注今译(繁体)].傅绍杰注译 - 第4页预览图](https://imgsoflfg-1302780771.cos.ap-shanghai.myqcloud.com/lfgimgs/e2305517f4b34180be006a5fb4ff09b9p4.jpg)
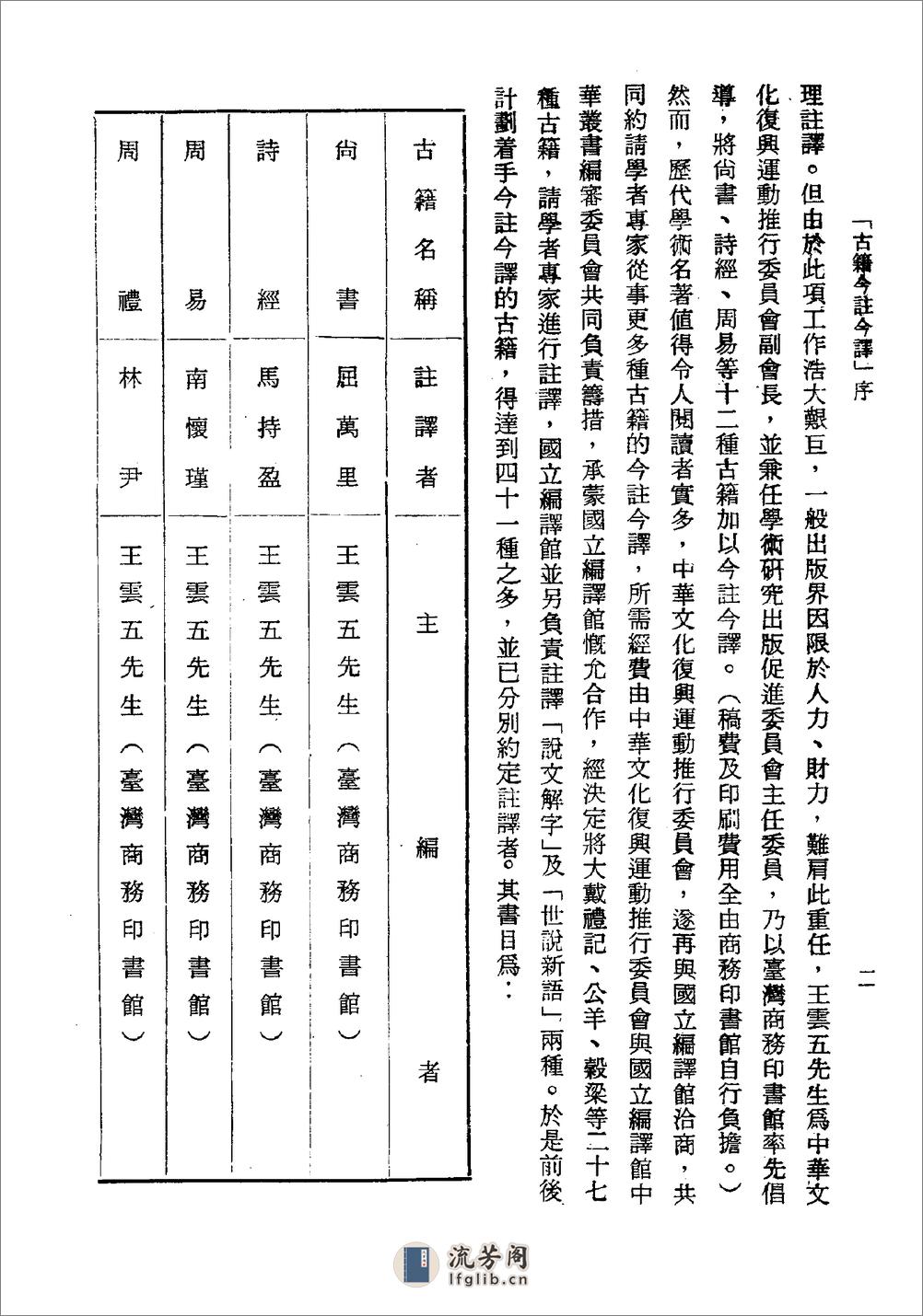
![吴子今注今译(繁体)].傅绍杰注译 - 第5页预览图](https://imgsoflfg-1302780771.cos.ap-shanghai.myqcloud.com/lfgimgs/e2305517f4b34180be006a5fb4ff09b9p5.jpg)
![吴子今注今译(繁体)].傅绍杰注译 - 第6页预览图](https://imgsoflfg-1302780771.cos.ap-shanghai.myqcloud.com/lfgimgs/e2305517f4b34180be006a5fb4ff09b9p6.jpg)
![吴子今注今译(繁体)].傅绍杰注译 - 第7页预览图](https://imgsoflfg-1302780771.cos.ap-shanghai.myqcloud.com/lfgimgs/e2305517f4b34180be006a5fb4ff09b9p7.jpg)
![吴子今注今译(繁体)].傅绍杰注译 - 第8页预览图](https://imgsoflfg-1302780771.cos.ap-shanghai.myqcloud.com/lfgimgs/e2305517f4b34180be006a5fb4ff09b9p8.jpg)
![吴子今注今译(繁体)].傅绍杰注译 - 第9页预览图](https://imgsoflfg-1302780771.cos.ap-shanghai.myqcloud.com/lfgimgs/e2305517f4b34180be006a5fb4ff09b9p9.jpg)
![吴子今注今译(繁体)].傅绍杰注译 - 第10页预览图](https://imgsoflfg-1302780771.cos.ap-shanghai.myqcloud.com/lfgimgs/e2305517f4b34180be006a5fb4ff09b9p10.jpg)
![吴子今注今译(繁体)].傅绍杰注译 - 第11页预览图](https://imgsoflfg-1302780771.cos.ap-shanghai.myqcloud.com/lfgimgs/e2305517f4b34180be006a5fb4ff09b9p11.jpg)
![吴子今注今译(繁体)].傅绍杰注译 - 第12页预览图](https://imgsoflfg-1302780771.cos.ap-shanghai.myqcloud.com/lfgimgs/e2305517f4b34180be006a5fb4ff09b9p12.jpg)
![吴子今注今译(繁体)].傅绍杰注译 - 第13页预览图](https://imgsoflfg-1302780771.cos.ap-shanghai.myqcloud.com/lfgimgs/e2305517f4b34180be006a5fb4ff09b9p13.jpg)
![吴子今注今译(繁体)].傅绍杰注译 - 第14页预览图](https://imgsoflfg-1302780771.cos.ap-shanghai.myqcloud.com/lfgimgs/e2305517f4b34180be006a5fb4ff09b9p14.jpg)
![吴子今注今译(繁体)].傅绍杰注译 - 第15页预览图](https://imgsoflfg-1302780771.cos.ap-shanghai.myqcloud.com/lfgimgs/e2305517f4b34180be006a5fb4ff09b9p15.jpg)
![吴子今注今译(繁体)].傅绍杰注译 - 第16页预览图](https://imgsoflfg-1302780771.cos.ap-shanghai.myqcloud.com/lfgimgs/e2305517f4b34180be006a5fb4ff09b9p16.jpg)
![吴子今注今译(繁体)].傅绍杰注译 - 第17页预览图](https://imgsoflfg-1302780771.cos.ap-shanghai.myqcloud.com/lfgimgs/e2305517f4b34180be006a5fb4ff09b9p17.jpg)
![吴子今注今译(繁体)].傅绍杰注译 - 第18页预览图](https://imgsoflfg-1302780771.cos.ap-shanghai.myqcloud.com/lfgimgs/e2305517f4b34180be006a5fb4ff09b9p18.jpg)
![吴子今注今译(繁体)].傅绍杰注译 - 第19页预览图](https://imgsoflfg-1302780771.cos.ap-shanghai.myqcloud.com/lfgimgs/e2305517f4b34180be006a5fb4ff09b9p19.jpg)
![吴子今注今译(繁体)].傅绍杰注译 - 第20页预览图](https://imgsoflfg-1302780771.cos.ap-shanghai.myqcloud.com/lfgimgs/e2305517f4b34180be006a5fb4ff09b9p20.jpg)
由于技术条件受限,目前仅支持浏览该古籍的前20页照片。如您需阅览古籍的高清影印版全本或高清PDF电子版全本,请联系流芳阁官方微信:lfgorg 获取,我们将在第一时间回复您的请求。因古籍保存年代久远或受当时印刷技术限制而可能导致的虫蛀、水渍、墨迹脱落等问题,请您谅解。祝您学习和阅览愉快~